Usos y Beneficios de la Terapia con oxígeno hiperbárico: un abordaje desde la Terapia Respiratoria Ruiz-Sequeira D.  y cols. ISSN 2215-5562. Rev. Ter. Enero-Julio del 2026; Vol.20 N°1: 43-57.

 

ARTÍCULO DE REVISIÓN

 

Usos y beneficios de la terapia con oxígeno hiperbárico: un abordaje desde la terapia respiratoria

 

Uses and benefits of hyperbaric oxygen therapy: A respiratory therapist's approach

 

Título corto: Usos y Beneficios de la Terapia con oxígeno hiperbárico: un abordaje desde la Terapia Respiratoria

Autores: 1 Dahyanna Ruiz-Sequeira, 1 Samuel Kung-Madriz, 2 Rebeca Peréz-Quesada, 3 Mitzy Vado-Chacón

Filiación: 1 Terapeuta respiratorio Independiente, San José, Costa Rica. 2 Universidad Santa Paula, San José, Costa Rica. 3 Escuela de Terapia Respiratoria, Facultad de Ciencias de la Salud, Universidad Santa Paula, San José, Costa Rica.

Correspondencia: Samuel Kung-Madriz, correo electrónico: sa_muskung@hotmail.com

Financiamiento: ninguno.

Conflictos de Interés: los autores declaran que este artículo es original y se basa en la Tesis de Grado de su misma autoría y con el mismo nombre, presentada en la Universidad Santa Paula, Costa Rica.

Rev. Ter. Enero-Junio del 2026; Vol. 20 N°1

 

Forma de citar: Dahyanna Ruiz-Sequeira, Samuel Kung-Madriz, Rebeca Peréz-Quesada, Mitzy Vado-Chacón. Usos y beneficios de la terapia con oxígeno hiperbárico: un abordaje desde la Terapia Respiratoria. Rev Ter [Internet]. 2026;20(1): 43-57.

Fecha de envío:  30 de agosto del 2025.

Fecha de aceptación: 7 de diciembre del 2025.

Abreviaturas: ATA, atmosferas absolutas ; EPOC, enfermedad pulmonar obstructiva crónica; FEF 25-75, Flujo Espiratorio Forzado entre el 25 y el 75% de la capacidad vital forzada; TOHB, terapia con oxígeno hiperbárico.  

 

Resumen

La terapia con oxígeno hiperbárico ha surgido como un abordaje terapéutico novedoso para patologías tanto agudas como crónicas, debido a que aumenta la oxigenación tisular gracias al aumento de presión dentro de la cámara. Se realizó una investigación de tipo cualitativa, conformada primeramente por una revisión bibliográfica en diversas bases de datos que obtuvo 43 artículos para su posterior análisis. Además, por una recopilación de información mediante un instrumento tipo cuestionario compuesto por 14 preguntas, 2 abiertas y 12 cerradas, el cual fue resuelto por 18 profesionales expertos en el uso de cámaras hiperbáricas. Los resultados demuestran que la terapia con oxígeno hiperbárico ha presentado diversos usos en patologías como enfermedad por descompresión, embolia gaseosa arterial, intoxicación por monóxido de carbono, entre otras; sea como tratamiento principal o como complemento. Existen usos para resolver síntomas clínicos, preventivos y relacionados con la calidad de vida de los pacientes. El terapeuta respiratorio cumple diversas tareas en el uso de esta terapia como las pruebas de función pulmonar, el monitoreo del paciente, la valoración clínica y la educación. A pesar de que el uso de la terapia con oxígeno hiperbárico se encuentra en el perfil profesional del terapeuta respiratorio, existe un vacío de información importante sobre la función principal que este puede desempeñar; a pesar de las pruebas complementarias que podría realizar el terapeuta, no hay suficiente evidencia que lo respalde.

 

Palabras clave:  terapia respiratoria, cámara hiperbárica, terapia con oxígeno hiperbárico, beneficios terapéuticos, usos clínicos.

 

Abstract

Hyperbaric oxygen therapy has emerged as a novel therapeutic approach for both acute and chronic conditions, as it increases tissue oxygenation by raising the pressure inside the chamber. A qualitative study was conducted, consisting primarily of a literature review of various databases, which yielded 43 articles for subsequent analysis. Information was also collected using a questionnaire consisting of 14 questions, 2 open-ended and 12 closed-ended, which was completed by 18 professionals with expertise in the use of hyperbaric chambers.

The results show that hyperbaric oxygen therapy has been used in various ways in pathologies such as decompression sickness, arterial gas embolism, and carbon monoxide poisoning, among others, either as the main treatment or as a complement. There are clinical, preventive, and quality-of-life-related uses for patients. Respiratory therapists perform various tasks in the use of this therapy, such as pulmonary function testing, patient monitoring, clinical assessment, and education. Although the use of hyperbaric oxygen therapy is part of the professional profile of respiratory therapists, there is a lack of important information about the main role it can play. Despite the complementary tests that therapists could perform, there is insufficient evidence to support this.

 

Keywords: Respiratory Therapy, Hyperbaric Chamber, Hyperbaric Oxygen Therapy, Therapeutic Benefits, Clinical Uses.

 

Introducción

La terapia con oxígeno hiperbárico (TOHB) ha surgido como un abordaje terapéutico en distintas condiciones médicas desde hace 300 años. Esta terapia implica la colocación de oxígeno con una fracción inspirada de oxígeno de 1.0 en una cámara de alta presión, lo que permite una mayor entrega de oxígeno a la sangre y a los diferentes tejidos del cuerpo1.

Por lo general, esta terapia ha sido utilizada en la intoxicación con monóxido de carbono, en buceadores que desarrollan el síndrome por descompresión al realizar inmersiones bajo el agua y en la curación de úlceras por presión en diferentes zonas del cuerpo, además ha sido ampliamente utilizada en pacientes con pie diabético1.

El primer servicio oficial de medicina hiperbárica en Costa Rica fue a nivel privado en el Hospital Clínica Católica gracias al Dr. Santiago Enríquez y la enfermera cubana Licda. Alina Enríquez2. En 2019 el Hospital Nacional de Niños, incorporó una cámara hiperbárica destinada al tratamiento de pacientes pediátricos con heridas, úlceras, anemias, quemaduras, lesiones por radiación, embolismo e infecciones graves, así como enfermedad por descompresión3.

Actualmente, en Costa Rica el servicio de medicina hiperbárica está disponible tanto en centros públicos como en clínicas privadas. Entre ellas destacan iniciativas familiares como es el caso de los hermanos Valverde en Cartago4, la inversión de la terapeuta respiratoria Esquivel para la atención de pacientes post COVID195, y clínicas como el Centro de medicina hiperbárica6, Terap7, Hospital Cima8, Clínica Santa Fe9, Clínica Rivera10, Longevity Clinic11, entre otras.

Fisiológicamente, se debe tener en cuenta que, a nivel del mar, con una fracción inspirada de oxígeno de 0,21, el ser humano tiene una presión alveolar de oxígeno de aproximadamente 100 mmHg, pero cuando un paciente recibe un tratamiento con terapia hiperbárica, al aumentar la presión ambiental y la FiO2 dentro de la cámara, la presión alveolar de oxígeno puede llegar incluso a valores mayores a 2000 mmHg a 3 atmosferas absolutas (ATA)12.

De igual forma en la TOHB existen diversas contraindicaciones absolutas que son aquellas en las que el tratamiento representa un riesgo vital para el paciente como lo son: neumotórax no tratado, toxicidad demostrada por oxígeno, incompatibilidad con medicamentos, claustrofobia, trastornos convulsivos13. También existen contraindicaciones relativas las cuales requieren una evaluación individual como en el caso de: infecciones respiratorias, enfermedad pulmonar obstructiva crónica (EPOC), enfisema pulmonar con retención de CO2, cavernas, bronquiectasias, atelectasias, crisis agudas de asma, epilepsia no tratada, cirugía gastrointestinal, narcolepsia, miastenia y embarazo13.

Desde la perspectiva del terapeuta respiratorio, la TOHB representa una oportunidad de fortalecer la atención interdisciplinaria en el manejo de pacientes con necesidades complicadas. El profesional en Terapia Respiratoria desarrolla un papel importante no solo en la administración segura del oxígeno durante las sesiones dentro de la cámara, sino también en la evaluación previa del paciente, el monitoreo, la educación, la preparación técnica del equipo y la implementación de protocolos que garanticen seguridad y que prevengan riesgos y complicaciones posteriores2.

Aunque su labor ha estado históricamente vinculada al tratamiento de patologías respiratorias y al soporte ventilatorio, estos profesionales también poseen las competencias necesarias para manejar equipos de oxigenación avanzada, evaluar el estado clínico del paciente antes de la sesión, monitorear sus signos vitales y garantizar la administración del oxígeno hiperbárico14. Lo que representa una oportunidad para ampliar el alcance de su práctica profesional.

Por todo lo anterior, el presente estudio tiene como finalidad analizar los principales usos y beneficios de la TOHB desde la perspectiva del terapeuta respiratorio, para profundizar en la eficacia clínica de esta terapia y al mismo tiempo consolidar el rol de este profesional de la salud dentro de los equipos multidisciplinarios y los escenarios terapéuticos innovadores de esta intervención, destacando su participación en la evaluación ejecución y seguimiento del paciente.

 

Materiales y métodos

Estudio de tipo cualitativo que se basó en dos fases metodológicas. La primera consistió en una revisión bibliográfica exhaustiva de la evidencia científica existente, sobre los usos y beneficios de la TOHB desde la perspectiva del terapeuta respiratorio. La segunda fase consistió en la recopilación de información mediante la aplicación de un instrumento de tipo cuestionario a profesionales expertos en el uso de cámaras hiperbáricas en Costa Rica, datos que pretenden complementar lo indicado en la evidencia con lo experimentado por los profesionales en su práctica clínica.

La búsqueda de información se realizó en las bases de datos PubMed, Ebsco, Scielo, ScienceDirect, Redalyc y ResearchGate; utilizando los siguientes descriptores: terapia hiperbárica, oxigenoterapia hiperbárica, quemaduras y terapia hiperbárica, heridas y terapia hiperbárica, úlceras por presión, oxigenación hiperbárica para úlceras, cáncer, tratamiento oxigeno hiperbárico para cáncer, postoperatorios con oxigenación hiperbárica, cirugías estéticas, beneficios terapia hiperbárica, terapia respiratoria. Se tomaron en cuenta investigaciones en idiomas inglés, español y portugués. El período de tiempo de las publicaciones se fijó desde el 2015 al 2024.

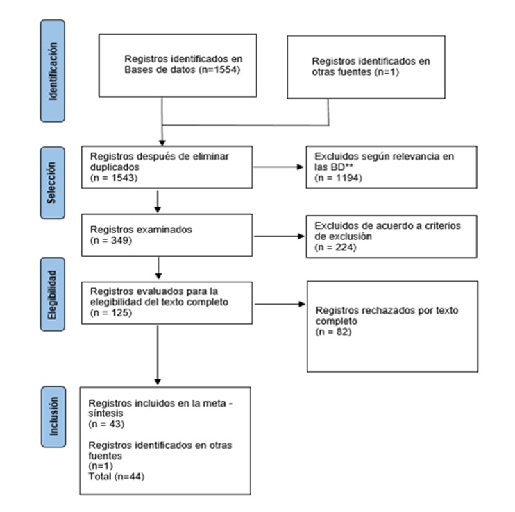
Se identifican inicialmente 1554 artículos en el primer cribado, posteriormente, se procedió a un análisis exhaustivo de la información que permitió la eliminación de duplicados y la verificación de la calidad de las fuentes, obteniendo un total de 1543. De estos se seleccionan según la relevancia establecida en las bases de datos, 349 artículos para el análisis.

 Posteriormente, se realizó una revisión por lectura de título y resumen seleccionando 125 artículos, una vez finalizado el análisis se procedió a eliminar 82 artículos que, a pesar de estar relacionados con el tema, no presentaban suficiente evidencia para ser considerados relevantes. Finalmente se utilizaron 43 artículos que cumplían los requerimientos necesarios para la fiabilidad de los resultados. Información que se evidencia en la figura 1.

Luego de la selección de los 43 artículos finales para el análisis de resultados, se generó una clasificación del nivel de evidencia que estas investigaciones aportaban de acuerdo con la escala propuesta por  Sackett, en el cual se identificaron un 32,55% artículos de nivel 1, 7% de nivel 2, 32,55% de nivel 3, 18,60% nivel 4 y un 9,30% de nivel 5.

 

 

Imagen

Figura 1. Flujograma de PRISMA para la identificación y selección de los artículos incluidos en la revisión bibliográfica

Fuente: elaboración propia, 2025.

 

Para la fase de recolección de información primaria brindada por los expertos, se utilizó la técnica de encuesta, instrumento que se desarrolló en la plataforma de Google Forms. Se aplicó un cuestionario compuesto por 14 preguntas, 2 abiertas y 12 cerradas a expertos del área de salud de Costa Rica como terapeutas respiratorios, terapeutas físicos, enfermería y médicos que tuviesen experiencia en el uso de cámaras hiperbáricas. Instrumento que fue validado previamente por 2 expertos. La encuesta fue enviada a un aproximado de 210 personas pertenecientes al área de salud y con experiencia en terapia hiperbárica, ya sea con su propia cámara o que pertenezcan al equipo de trabajo; obteniendo 18 respuestas las cuales se distribuyeron de la siguiente manera según el profesional que completó la encuesta: 11% médicos, 39% terapéutas respiratorios y 50% terapeutas respiratorios.

Se extrajeron los datos, se tabularon las cantidades de mayor a menor para lograr la representatividad de las categorías estudiadas y se construyeron las representaciones gráficas para complementar el análisis efectuado a partir de la evidencia científica recopilada.

 

Resultados y discusión

Con respecto a las patologías que evidencian el uso de la TOHB como tratamiento, según Saquisela et al15 y Banham et al16 se encuentra evidencia de la TOHB como tratamiento de primera línea para tratar los efectos inmediatos en la enfermedad por descompresión. Los autores mencionan que el abordaje del paciente se debe de realizar con una presión de 2,8 ATA y con un tiempo de 45 minutos por sesión. Lo anterior, concuerda con los resultados obtenidos en la encuesta realizada a los expertos costarricenses (Figura 2), en la que el 11,1% de los profesionales confirman la utilización de la TOHB para el manejo de esta patología. Sin embargo, es importante considerar las condiciones individuales de cada paciente y el momento en el que se instaure la TOHB, el número de sesiones y la presión.

 

 

Imagen

Figura 2. Beneficios de la terapia con oxígeno hiperbárico según participantes del cuestionario

Fuente: elaboración propia basada en la encuesta, 2025.

 

Por otra parte, en la intoxicación por monóxido de carbono, Eichhorn et al17 y Juurlink et al18 coinciden en que para utilizar la TOHB se necesitan más estudios, aunque se ha mencionado como primera opción de tratamiento, no hay resultados concluyentes que indiquen una mejoría en esta patología al aplicar la terapia. La información anteriormente mencionada, concuerda con los resultados obtenidos en el cuestionario, los cuales establecen que un 22,2% de profesionales indican que en la actualidad no utilizan la TOHB frecuentemente en la intoxicación por monóxido de carbono (Figura 2).

En la enfermedad de Párkinson, Mensah-Kane et al19 y Tan et al20 encuentran beneficios en el tratamiento de esta enfermedad con una presión de 2,5 ATA FiO2 del 1 y un tiempo de 40 minutos por sesión. De manera similar, Lowe et al21,  Li et al22 y Misking et al23 mencionan que en las lesiones cerebrales se puede utilizar la TOHB como tratamiento.

Según Lowe et al21 a una presión de 3 ATA por 70 minutos se presentan avances significativos, información afirmada por Misking et al23 , quienes obtuvieron resultados positivos de la aplicación de TOHB a una presión de 1,5 ATA, lo cual conduce a una mejora de los síntomas asociados. Si bien la literatura evidencia beneficios clínicos parciales en pacientes con lesiones cerebrales, no suele ser una práctica ordinaria en Costa Rica, ya que de los expertos encuestados solo el 5,6% respaldan el uso de la terapia en este tipo de lesiones (Figura 2).

Otra patología presentada en la evidencia es la embolia aérea. Según Ulus et al24 estos pacientes deben de ser tratados durante las primeras 4 a 6 horas con TOHB para no provocar complicaciones posteriores debido al rápido abordaje de la terapia. Según Leaman et al25 el paciente posterior a las 24 horas del tratamiento, comienza a presentar mejora. Razón por la que Callejon-Peláez et al26 afirman que la TOHB es el tratamiento de primera línea.

 Con respecto a las úlceras y heridas, Wenhui et al27 mencionan que en el uso de la TOHB aumenta la tasa de cicatrización en los pacientes con pie diabético. Golledge et al28 concuerdan que la TOB disminuye la probabilidad de amputación. De igual forma Kranke et al29 indican que al administrar 30 a 120 minutos dos veces al día con presiones de 1,5 a 3 ATA hay menor probabilidad de amputación.

En cuanto a esto, Mastroianni et al30 mencionan que una presión de 1,45 ATA en sesiones de 60 minutos, permite observar una cicatrización completa; sumado a esto, Herrera-Sánchez et al31 que detallan cómo la TOHB reduce significativamente el dolor. En la figura 2 se puede observar que un porcentaje importante de los profesionales en Costa Rica utiliza la TOHB para el tratamiento de las úlceras y heridas, en donde de un 100% un 94,4% de los encuestados respondieron afirmativamente, hallazgo que guarda relación con los resultados obtenidos de los diferentes artículos.

Otro uso importante es en las quemaduras; Alyafi et al32 demostraron en una revisión sistemática que para utilizar la TOHB se debe de realizar con precaución. De igual forma Smolle et al33, respaldan el uso de la terapia con quemaduras ya que existen beneficios entre los mecanismos patogénicos y los procesos de curación y cicatrización con una presión entre 2 y 2,5 ATA. Edwards et al34, sugieren 3 tratamientos en las primeras 24 horas y seguido a esta intervención dos veces por día en sesiones de 90 minutos a 2 o 2,4 ATA

Por otra parte, en relación con el Trastorno del Espectro Autista, Ferreira et al35, analizaron la TOHB como terapia complementaria, demostrando que a una presión de 1,5 ATA con una FiO2 del 1,0 y un mínimo de 20 sesiones, se pueden disminuir los síntomas de los pacientes. En el mismo contexto Xiong et al36, evidenciaron que la TOHB en niños con este transtorno mejoraba los síntomas, aunque aclaran que aún no existe evidencia suficiente; sin embargo, Tu et al37 confirmaron que la THOB contribuye a la reducción de síntomas, lo que concuerda con los dos autores mencionados anteriormente.

En el cáncer, según Foy et al38 una presión de 2 ATA durante 20 sesiones tiene resultados positivos en la necrosis y fistula. De igual forma Meier et al39 demostraron que la TOHB reduce los síntomas de toxicidad local por radiación y, según Bennet et al40 las sesiones de 90 minutos a 2 y 2,5 ATA pueden beneficiar en la recuperación de los pacientes con este diagnóstico.

Este hallazgo positivo de evidencia que espalda el uso de la TOHB en cáncer, guarda relación con la percepción de los participantes de la encuesta quienes respondieron afirmativamente en un 66,7% para la utilización de la TOHB en pacientes con estas afecciones, un 44,4% de necrosis lo que indica que a nivel nacional se utiliza esta terapia para el tratamiento de la patología mencionada (Figura 2). Aunque la TOHB no se utiliza para tratar cáncer maligno, puede tener un papel complementario en afecciones benignas o en complicaciones asociadas al tratamiento del cáncer, como la radio necrosis o las lesiones por radiación.

Un área adicional de la aplicación de la TOHB es en cirugías, Siqueira et al41 concluyen que durante las primeras 3 horas post cirugía, con sesiones de 60-90 minutos a una presión de 2,4 ATA, los pacientes con trasplante de hígado presentan mejorías. De igual forma Furukawa et al42 encontraron reducción de las complicaciones post cirugía y, según Wang et al43 en las cirugías cardiacas que utilizaron la TOHB como pre-acondicionamiento y complicaciones postcirugía cardiaca, se presentaron menos complicaciones. En la encuesta realizada a los profesionales de Costa Rica, de un 100% se obtuvo un 88,9% de uso de la TOHB en pacientes con cirugías, esto concuerda con los resultados observados en los artículos analizados previamente, los cuales refuerzan el uso de esta terapia en esos casos.

Finalmente, la TOHB se ha utilizado en COVID-19 teniendo grandes resultados.  Según Callejón-Peláez et al44 con una presión de 1,6 a 2 ATA y 90 minutos de sesión se logra una mejoría clínica en estos casos. Además, Kjellberg et al45 mencionan que la terapia es un tratamiento viable para el COVID-19 a una presión de 2,4 ATA por 80 minutos, aunque no lograron verificar los beneficios, años después exploraron la terapia nuevamente en esta patología teniendo mejores resultados46.

Los beneficios del uso de la TOHB según la literatura evidencian que esta terapia ha demostrado tener aplicaciones terapéuticas en una gran cantidad de condiciones patológicas tanto agudas como crónicas y los efectos fisiológicos que benefician con esta terapia hacia los pacientes. En la siguiente tabla se detallan los beneficios fisiológicos, clínicos, preventivos y de calidad de vida según cada autor.

 

Tabla 1. Beneficios de la terapia con oxígeno hiperbárico clasificados por categorías según autor

 

Tipo de Beneficios

Autor

Fisiológicos

Reducción volumen de burbujas en sangre 

Saquisela et al15, Ulus et al24, Leaman et al25, Callejón-Peláez et al26

Reducción vida útil de carboxihemoglobina

Eichhorn et al17, Juurlink et al18

 

Reducción de isquemia cerebral 

Li et al22, Misking et al23

Mejora de oxigenación 

Li et al22, Misking et al23, Tu et al37

Disminución de la inflamación 

Li et al22, Misking et al23,  Kjellberg et al46

Síntesis de colágeno

Alyafi et al32

Neovascularización 

Alyafi et al32

Clínicos

Aumento en tasa de cicatrización 

Wenhui et al27, Golledge et al28, Kranke et al29, Mastroianni et al30, Alyafi et al32, Smolle et al33, Edwards et al34, Foy et al38, Furukawa et al42

Disminución en incidencia de úlceras 

Edwards et al34

Disminución en la incidencia de complicaciones infecciosas necrotizantes. 

Wenhui et al27, Golledge et al28, Kranke et al29, Mastroianni et al30, Alyafi et al32, Smolle et al33, Edwards et al34, Foy et al38

Reducción del dolor

Meier et al39

Protección cardiovascular 

Wang et al43

Disminución en la necesidad de oxigenoterapia 

Callejon-Peláez et al44

Preventivos

Reducción en amputación 

Foy et al38

Calidad de vida

Calidad de vida

Mensah-Kane al19, Tan et al20,

Ferreira et al35 

Fuente: elaboración propia basada en las referencias15,17-20, 22-30, 32-34, 37-39, 42-44, 46.

 

Como pudo observarse en la tabla 1, la TOHB no solo brinda beneficios fisiológicos, sino representa un avance positivo en la calidad de vida de los pacientes. Ayudan a mejorar el sueño, el dolor y disminuir la estancia hospitalaria. En la misma línea, para complementar lo mencionado en los párrafos anteriores, se presenta la figura 2, el cual muestra las respuestas a la consulta de profesionales en Costa Rica que utilizan las cámaras hiperbáricas, esta información es clasificada según el beneficio señalado. Los beneficios más destacados por los profesionales de la salud que utilizan cámaras hiperbáricas en Costa Rica son: mejora en la cicatrización, oxigenación, disminución de complicaciones por infecciones y reducción del dolor.

Con respecto a las pruebas de función pulmonar, en los resultados obtenidos de las mediciones realizadas por Tyagi et al47 y Canarslan et al48, no se encontraron diferencias clínicas o estadísticamente significativas. El único cambio apreciable fue en el Flujo Espiratorio Forzado entre el 25 y el 75% de la capacidad vital forzada ( FEF 25-75) entre las personas que recibieron menos de 74 sesiones, comparado con los que recibieron 150 sesiones o más; sin embargo, tampoco presentaron cambios sintomatológicos relevantes para el estudio.

En la figura 3 se muestran las diferentes funciones que cumplen los terapeutas respiratorios que laboran para servicios de oxigenación hiperbárica, según la encuesta realizada.

 

Imagen

Figura 3. Funciones del terapeuta respiratorio dentro de los servicios de terapia con oxígeno hiperbárico

Fuente: elaboración propia basada en la encuesta, 2025.

 

Como se puede observar en la figura 3 dentro de las funciones esenciales de un terapeuta respiratorio dentro de un servicio de TOHB se encuentran la valoración del paciente, así lo demuestran los profesionales en Costa Rica, los cuales indicaron en un 100% estar de acuerdo con esta tarea, así mismo el 68,8% de los encuestados está de acuerdo en que las pruebas de función pulmonar son una de las acciones principales que cumple este profesional.

Como se mencionó anteriormente, se puede demostrar que una de las principales funciones del terapeuta respiratorio basado en el perfil profesional, está relacionado con la valoración inicial del paciente o incluso de los profesionales expuestos a la TOHB a través de las pruebas de función pulmonar, determinando de esta manera la seguridad previa al tratamiento, así como la detección de factores de riesgo.

Ahora bien, en cuanto a la monitorización y evaluación, Martinelli et al49 realizaron un estudio aleatorizado de pacientes, los cuales fueron expuestos por una hora a oxígeno a una presión de 1 ATA, ellos evaluaron la saturación periférica de oxígeno, la frecuencia cardíaca, la presión arterial sistémica, el volumen, la capacidad y presión pulmonar. En este estudio, el control de los signos vitales y respiratorios, son fundamentales para la detección de hipoxia o hiperventilación del paciente durante la sesión porque, a pesar de que la TOHB es un tratamiento seguro, es importante que el terapeuta respiratorio monitoree constantemente al paciente durante toda la sesión, esto permitirá la detección temprana de complicaciones, como el baro-trauma de oído o de pulmón, crisis convulsivas, toxicidad por oxígeno, ansiedad o claustrofobia.  

A su vez dentro del rol del terapeuta en la TOHB, debe de estar implícito la aplicación de protocolos de seguridad en las cámaras hiperbáricas y la verificación de los suministros necesarios durante la sesión, lo que permitirá brindar aún más seguridad y control de calidad de la terapia.  De manera paralela es fundamental que como parte del papel que cumple el terapeuta respiratorio dentro de la TOHB, trabaje de forma interdisciplinaria, con médicos, enfermeros, terapeutas físicos y otros profesionales de la salud, para brindar una atención más integral al paciente.

 

En concordancia con lo anterior, se les realizó una pregunta a los encuestados con respecto al tipo de formación que ellos poseen para brindar el servicio de terapia hiperbárica, en la que se destacan cursos técnicos en oxigenoterapia hiperbárica con un 61,1%, formación universitaria de posgrado con un 50% y acompañamiento o mentoría con profesionales con experiencia con un 27,8% (Figura 4).

 

 

Imagen

Figura 4. Formación obtenida para el ejercicio profesional en cámaras hiperbáricas en Costa Rica según la opinión de los encuestados

Fuente: elaboración propia basada en la encuesta, 2025.

 

 A partir de lo anterior, el abordaje de la Terapia Respiratoria dentro de la TOHB constituye un pilar fundamental en el antes, durante y después de las sesiones a las que fue sometido el paciente, esto permitirá garantizar seguridad para el paciente en todo momento. El terapeuta respiratorio en concordancia con el perfil profesional de  disciplina en Costa Rica, posee conocimientos, habilidades y destrezas que perfectamente se pueden integrar durante la valoración, la preparación, el monitoreo, la intervención, la educación y el seguimiento del paciente sometido a estos protocolos, el rol que el desempeña es activo y no solamente se realizan en función de la obtención de efectos fisiológicos positivos, sino también en la prevención de complicaciones y en un tratamiento más integral que permita ir más allá de la enfermedad o situación, si no que impacte la calidad de vida del paciente.

 

Conclusiones

La TOHB presenta diversos beneficios para los pacientes, esta terapia trabaja aumentando la presión atmosférica y brindando una fracción inspirada de O2 que puede ir desde 0,21 hasta 1. Cada patología tiene sus propios parámetros que permiten un mejor tratamiento. A pesar de presentar diferentes beneficios, y ser un tratamiento seguro, es importante recalcar que cada paciente es diferente y como tal, existen diversos efectos adversos.

De la misma manera el tiempo de tratamiento varía dependiendo de la complejidad y del avance de la sintomatología. Existen múltiples patologías que, a pesar de que pueden ser abordadas mediante la TOHB, no presentan suficiente evidencia, por lo que se concluye una falta de datos científicos y de estudios clínicos aleatorizados que demuestren el beneficio y el correcto abordaje de los pacientes. Sumado a eso, la mayoría de las patologías que se describieron en esta investigación obtienen diversos beneficios y se puede optar por incluir la TOHB como un tratamiento principal.

También, durante el proceso de investigación se identificó una amplia cantidad de literatura basada en animales. A pesar de que estas investigaciones han generado importantes avances en la TOHB, el enfoque de la investigación es en humanos, por lo que este tipo de literatura no podría tomarse en cuenta.

Se concluye finalmente, que a pesar de que el uso de la TOHB forma parte del perfil profesional de la Terapia Respiratoria, lo que representa una valiosa oportunidad de desarrollo y fortalecimiento del ejercicio profesional, se considera limitada la información sobre las funciones específicas que debe realizar este profesional.  Existen una serie de pruebas y evaluaciones complementarias que podría realizar el terapeuta, participando así de forma activa dentro de los equipos de trabajo

Asimismo, los resultados reflejan que los terapeutas respiratorios cuentan con competencias clave para desempañarse en este ámbito, destacándose la fisiología cardiorrespiratoria, la oxigenoterapia y el trabajo en equipo interdisciplinario, habilidades que son fundamentales para la atención integral del paciente en terapias como la TOHB.

 

Referencias Bibliográficas

1.    Mayo Clinic [Internet]. Estados Unidos: Mayo Clinic; 2023 [citado el 25 de febrero de 2025]. Oxigenoterapia Hiperbárica; [aprox. 3 pantallas]. Disponible en: https://www.mayoclinic.org/es/tests-procedures/hyperbaric-oxygen-therapy/about/pac-20394380

2.    Perfil del Enfermero(a) hiperbárico(a). Diario Oficial La Gaceta (CR), 40, (28 de febrero de 2020). Disponible en: https://enfermeria.cr/pr0ject/docs/reglamentos/Perfil%20Enfermera%20Hiperb%C3%A1rica.pdf

3.    Rodríguez I. Hospital de Niños estrena cámara hiperbárica para favorecer tratamientos médicos [Internet]. La Nación. 27 de marzo del 2019 [citado el 25 de febrero de 2025]. Disponible en: https://www.nacion.com/ciencia/salud/hospital-de-ninos-estrena-camara-hiperbarica-para/OPDF2W3AUZDH7J4M323W2K3O7M/story/

4.    González M. Tecnología hiperbárica llega a Cartago de la mano de familia emprendedora [Internet]. La República. 27 de agosto del 2023 [citado el 25 de febrero de 2025]. Disponible en: https://www.larepublica.net/noticia/tecnologia-hiperbarica-llega-a-cartago-de-la-mano-de-familia-emprendedora

5.    Biobárica [Internet]. Costa Rica: Biobárica; 2022 [citado el 25 de febrero de 2025]. Nuevo centro de atención en Costa Rica; [aprox. 4 pantallas]. Disponible en: https://www.biobarica.com/es/noticias/historia-de-la-camara-hiperbarica-pVehAxuM3M18o2XqQXmb/

6.    Centro de Medicina Hiperbárica [Internet]. Costa Rica: Centro de Medicina Hiperbárica; 2023 [citado el 16 de junio de 2025]. Centro de Medicina Hiperbárica [aprox. 1 pantalla]. Disponible en: https://hiperbaricacostarica.com/sobre-nosotros/

7.    TERAP Costa Rica [Internet]. Costa Rica: TERAP Costa Rica; 2023 [citado el 16 de junio de 2025]. Cámara hiperbárica [aprox. 1 pantalla]. Disponible en: https://sites.google.com/terapcr.com/terap-costa-rica/servicios/cámara-hiperbárica

8.    CIMA [Internet]. Costa Rica: CIMA; 2025 [citado el 16 de junio de 2025]. Terapia de oxígeno hiperbárico; [aprox 2 pantallas]. Disponible en: https://hospitalcima.com/es/servicios-medicos/terapia-de-oxigeno-hiperbarico-2/

9.    Clínica Santa Fe [Internet] Costa Rica: Clínica Santa Fe; 2021 [citado el 25 de febrero de 2025]. Cámara Hiperbárica; [aprox. 2 pantallas]. Disponible en: https://www.facebook.com/share/17Aj5rfGdx/

10.  González M. Tecnología hiperbárica llega a Cartago de la mano de familia emprendedora [Internet]. La República. 27 agosto de 2023 [citado el 16 de junio de 2025]. Disponible en: https://www.larepublica.net/noticia/tecnologia-hiperbarica-llega-a-cartago-de-la-mano-de-familia-emprendedora

11.  Longevity Clinic [Internet] Costa Rica: Longevity Clinic; 2021 [citado el 16 de junio de 2025]. Cámara Hiperbárica; [aprox. 2 pantallas]. Disponible en: https://www.longevityclinic.cr/

12.  Kahle A, Cooper J. Hyperbaric Physiological and pharmacological effects of gases [Internet]. Estados Unidos: StatPearls Publishing; 2023 [citado el 25 de febrero de 2025]. Disponible en: https://www.ncbi.nlm.nih.gov/books/NBK470481/

13.  Clinica hiperbarica [Internet]. España: Clínica hiperbárica; 2025 [citado el 24 de abril de 2025]. Indicaciones de la Oxigenoterapia hiperbárica; [aprox. 6 pantallas]. Disponible en: https://clinicahiperbarica.es/indicaciones-oxigenoterapia-hiperbarica/

14.  Colegio de Terapeutas de Costa Rica. Perfil profesional del terapeuta respiratorio [Internet]. Costa Rica: Colegio de Terapeutas de Costa Rica; 2025 [citado el 07 de junio de 2025]. Disponible en: https://colegiodeterapeutas.cr/wp-content/uploads/2025/02/8R09-Perfil-Profesional-de-Terapia-Respiratoria-V.04-Copia-no-controlada.pdf

15.  Saquisela V, Vargas C, Mariños E, Guzmán J, Zúñiga M. Enfermedad descompresiva espinal: mielopatía isquémica secundaria a un accidente de buceo. Rev Neuropsiquiatr [Internet]. 2018 [citado el 24 de julio de 2025];81(1):42-46. doi: 10.20453/rnp.v81i1.3272.

16.  Banham N, Hawkings P, Gawthrope I. A prospective single-blind randomised clinical trial comparing two treatment tables for the initial management of mild decompression sickness. Diving Hyperb Med [Internet]. 2022 [citado el 24 de julio de 2025];52(2):95-91.  doi: 10.28920/dhm52.2.85-91.

17.  Eichhorn L, Thudium M, Jüttner B. The diagnosis and treatment of carbon monoxide poisoning. Dtsch Arzteb Int [Internet]. 2018 [citado el 24 de julio de 2025];115(51-52):863-870. doi: 10.3238/arztebl.2018.0863.

18.  Juurlink D. Hyperbaric oxygen should not be used routinely for carbon monoxide poisoning. Br J Clin Pharmacol [Internet]. 2022 [citado el 24 de julio de 2025];89(3):942-945.  doi: 10.1111/bcp.15603.

19.  Mensah-Kane P, Sumien N. The potential of hyperbaric oxygen as a therapy for neurodegenerative diseases. GeroScience [Internet]. 2022 [citado el 24 de julio de 2025];45(2):747-756. doi: 10.1007/s11357-022-00707-z.

20.  Tan WQ, Liu Q, Cen MJ, Leong II, Pan ZQ, Liao MX, et al. Efficacy of hyperbaric oxygen therapy as an adjunct therapy in the treatment of sleep disorders among patients with Parkinson’s disease: a meta-analysis. Front Neurol [Internet]. 2024 [citado el 24 de julio de 2025];15(1):1328911. doi: 10.3389/fneur.2024.1328911

21.  Lowe S, Le Mercier du Quesnay DR, Gayle P, Henry-Pinnock F, Wedderburn-Buddo T. Report on hyperbaric oxygen therapy: an overlooked therapeutic option in stroke recovery and a potential source of health sector revenue and health tourism. West Indian Med J [Internet]. 2023 [citado el 24 de julio de 2025];65(1):198-203. doi: 10.7727/wimj.2014.225.

22.  Li D, Shen J, Yang Z, Zhang Y, Li Z. Benefits of early hyperbaric oxygen therapy on attention networks in patients with subarachnoid hemorrhage. World Neurosurgery [Internet]. 2024 [citado el 24 de julio de 2025];190(1):e243-e248. doi: 10.1016/j.wneu.2024.07.098.

23.  Miskin B, Fox L, Abou-Al-Shaar H, Bin-Alamer O, Goertz A, Lipin C, et al. Hyperbaric oxygen therapy for the management of mild and moderate traumatic brain injury: A single-center experience. World Neurosurg [Internet] 2023 [citado el 24 de julio de 2025];176(1):e357-e370. doi: 10.1016/j.wneu.2023.05.062.

24.  Ulus T, Babayigit E, Çamli E, Aykaç Ö, Kocabas ZU, Özdemir AÖ, et al. Early hyperbaric oxygen therapy for cerebral air embolism during atrial fibrillation ablation. Pacin Clin Electrophysiol [Internet]. 2019 [citado el 24 de julio de 2025];42(1):104-106. doi: 10.1111/pace.13475.

25.  Leaman M, Thompson F. Dive or die: a case of neurologic recovery following hyperbaric oxygen treatment for cerebral air embolism. Chest [Internet]. 2023 [citado el 24 de julio de 2025];164(4):A2173-A2174. doi: 10.1016/j.chest.2023.07.1475.

26.  Callejón-Peláez E, Martínez-Izquierdo A, Baragaño-Ordoñez M, Borrego-Jiménez P, Siles-Rojas A. Embolismo gaseoso masivo yatrogénico tratado con oxigenoterapia hiperbárica. Sanid Mil [Internet]. 2021 [citado el 24 de julio de 2025];77(2):94-97. doi: 10.4321/s1887-85712021000200005.

27.  Wenhui L, Changgeng F, Lei X, Baozhong Y, Guobin L, Wijing F. Hyperbaric oxygen therapy for chronic diabetic foot ulcers: an overview of systematic reviews. Diabetes Res Clin Pract [Internet]. 2021 [citado el 24 de julio de 2025];176(1):108862. doi: 10.1016/j.diabres.2021.108862.

28.  Golledge J, Singh T. Systematic review and meta-analysis of clinical trials examining the effect of hyperbaric oxygen therapy in people with diabetes-related lower limb ulcers. Diabet Med [Internet]. 2019 [citado el 25 de julio de 2025];36(7):813-826. doi: 10.1111/dme.13975.

29.  Kranke P, Bennett M, Martyn-St M, Schnabel A, Debus S, Weibel S. Hyperbaric Oxygen therapy for chronic wounds. Cochrane Database Syst Rev [Internet] 2015 [citado el 25 de julio de 2025];2015(6):CD004123. doi: 10.1002/14651858.cd004123.pub4.

30.  Mastroianni C, Sánchez V, Ferreyra F, Sánchez R, Arredondo C. Tratamiento de oxigenación hiperbárica en heridas complejas. Rev Argent Dermatol [Internet]. 2021 [citado el 25 de julio de 2025];102(1):1-10. Disponible en: https://www.scielo.org.ar/pdf/rad/v102n1/1851-300X-rad-102-01-1.pdf

31.  Herrera-Sánchez A, Madriagal-Alvarado M, Moncayo G, Verdini F. Medium-pressure hyperbaric oxygen therapy for livedoid vasculopathy. Medicina (B. Aires) [Internet]. 2022 [citado el 25 de julio de 2025];82(4):613-616. Disponible en: http://scielo.org.ar/pdf/medba/v82n4/1669-9106-medba-82-04-613.pdf

32.  Alyafi T, Al-Marzouki A, Al Hassani AN. Therapeutic outcome of burn patients treated with hyperbaric oxygen. Cureus [Internet]. 2021 [citado el 25 de julio de 2025];13(10):e18671. doi: 10.7759/cureus.18671.

33.  Smolle C, Lindenmann J, Kamolz L, Smolle-Juetter F. The history and development of hyperbaric oxygenation (HBO) in thermal burn injury. Medicina (Kaunas) [Internet]. 2021 [citado el 25 de julio de 2025];57(1):49. doi: 10.3390/medicina57010049.

34.  Edwards M, Cooper J.  Hyperbaric Treatment of Thermal Burns. Estados Unidos: StatPearls; 2023 [citado el 25 de julio de 2025]. Disponible en: https://www.ncbi.nlm.nih.gov/books/NBK470524/

35.  Ferreira L, Camara C, Melo C, Moreira D, Ferreira M. A oxigenoterapia hiperbárica como terapia complementar no tratamento do transtorno do espectro do autismo. Rev Portug Enferm Saúde Mental [Internet]. 2016 [citado el 25 de julio de 2025];15(1):37-44. doi: 10.19131/rpesm.0130

36.  Xiong T, Chen H, Luo R, Mu D. Hyperbaric oxygen therap for people with autism spectrum disorder (ASD). Cochrane Database Syst Rev [Internet]. 2016 [citado el 25 de julio de 2025];10(10):CD010922. doi: 10.1002/14651858.CD010922.pub2.

37.  Tu P, Halili X, Zhang S, Yang J, Xiao Y. The effectiveness of hyperbaric oxygen therapy in children and adolescents and with autism spectrum disorders: A systematic review and meta-analysis. Prog Neuropsychopharmacol Biol Psychiatry [Internet]. 2025 [citado el 25 de julio de 2025];137(1):111257. doi: 10.1016/j.pnpbp.2025.111257.

38.  Foy O, Kumar A, Liang M. Hyperbaric oxygen therapy: a practical guide for gynecologic oncologists. Gynecol Oncol Rep [Internet]. 2025 [citado el 25 julio de 2025];58(1):101694. doi: 10.1016/j.gore.2025.101694.

39.  Meier E, Mink van der Molen D, Landsdorp C, Batenburg M, van der Leij F, Verkooijen H, et al. Hyperbaric oxygen therapy for local late radiation toxicity in breast cancer patients: a systematic review. Breast [Internet]. 2023 [citado el 25 de julio de 2025];67(1):46-54. doi: 10.1016/j.breast.2022.12.009.

40.  Bennett M, Feldmeier J, Hampson N, Smee R, Milross C. Hyperbaric oxygen therapy for late radiation tissue injury. Chocrane Database Syst Rev [Internet]. 2016 [citado el 25 de julio de 2025];4(4):CD005005. doi: 10.1002/14651858.CD005005.pub4.

41.  Schwambach BS, Braga MELS, Ferreira LA, Andrade SV, Vieira CAFF, Oliveira LCMC, et al. Oxigenoterapia Hiperbárica em Pacientes Submetidos ao Transplante Hepático: Uma Revisão Integrativa. Braz J Transplant [Internet]. 2023 [citado el 25 de julio de 2025];26(1):e3523.  doi: 10.53855/bjt.v26i1.537_PORT.

42.  Furukawa M, Coster J, Hage C, Sánchez P. Hyperbaric oxygen therapy for extensive bronchial necrosis and dehiscence after lung transplantation. JTCVS Tech [Internet]. 2023;19(1):166-168. doi: 10.1016/j.xjtc.2023.04.005.

43.  Wang D, Liu M, Jia S, Tian Z, Yang J, LiuX. Hyperbaric oxygen therapy for cardiovascular surgery. Med Gas Res [Internet]. 2025 [citado el 25 de julio de 2025];15(2):299-308. doi: 10.4103/mgr.MEDGASRES-D-24-00095.

44.  Callejón-Peláez E, Baragaño-Ordóñez M, Martínez-Izquierdo A, Viqueira-Caamaño A, Pujante-Escudero A. Experiencia del servicio de medicina hiperbárica en el tratamiento con oxigenoterapia hiperbárica de pacientes COVID-19. Sanid Mil [Internet]. 2020 [citado el 25 de julio de 2025];76(2):56-62. doi: 10.4321/s1887-85712020000200002.

45.  Kjellberg A, Douglas J, Pawlik M, Hassler A, Al-Ezerjawi S, Boström E, et al. Five sessions of hyperbaric oxygen for critically ill patients with COVID-19-induced ARDS: A randomised, open label, phase II trial. Respir Med [Internet]. 2024 [citado el 25 de julio de 2025];232(1):107744. doi: 10.1016/j.rmed.2024.107744.

46.  Kjellberg A, Zhao A, Lussier A, Hassler A, Al-Ezerjawi S, Boström E, et al. Hyperbaric oxygen therapy as an immunomodulatory intervention in COVID-19-induced ARDS: exploring clinical outcomes and transcriptomic signatures in a randomised controlled trial. Pulm Pharmacol Ther [Internet]. 2024 [citado el 25 de julio de 2025];87(1):102330. doi: 10.1016/j.pupt.2024.102330.

47.  Tyagi R, Mohanty C, Chowdhary G, Deo R, Chaudhry H, Chaudhry DK, et al. Effects on pulmonary funtions in patiets undergoing hyperbaric oxygen therapy: a prospective observational study. J Marine Med Soc [Internet]. 2024 [citado el 25 de julio de 2025];26(2):174-179. doi: 10.4103/jmms.jmms_46_23.

48.  Canarslan K, Avci AU, Yüsra S, Konyalioglu FS, Turgut B. Longitudinal study of changes in pulmonary funtion among inside attendats of hyperbaric oxygen therapy. Diving Hyperb Med [Internet]. 2025 [citado el 25 julio de 2025];55(1):11-17. Doi: 10.28920/dhm55.1.11-17.

49.  Martinelli B, Noronha JM, Sette MFM, Santos IPD, Barrile SR, Simão JC. Cardiorespiratory alterations in patients undergoing hyperbaric oxygen therapy. Rev Esc Enferm USP [Internet]. 2019 [citado el 25 de julio de 2025];53(1):e03469. doi: 10.1590/S1980-220X2017051503469.